티스토리 뷰
누구나 한 번쯤 체중관리 때문에 다이어트를 고민해 본 경험이 있을 겁니다. 복부나 엉덩이에 체지방이 축적된 분, 군살이 자꾸 늘어 걱정이신 분, 불필요한 체지방을 없애고 싶으신 분, 오버핏만 입으시는 분, 출산 후 몸매 관리로 힘들어하시는 분에게 하루 한 포 간편하게 마시는 워터믹스 타입 맥스컷 다이어트 허리업을 알려드리려고 합니다.

왜 맥스컷 다이어트 허리업일까요?
- 체지방 감소 개별인정형 소재: 시네트롤
- 프랑스 fytexia 개발: 체지방 감소 핵심 원료
- 에너지 대사 및 활력증진: 비타민 6종 영양성분기준치 100% 이상 함유
- 하루 한 포 간편하게 마시는 워터믹스 타입
- 엄선한 부원료 9종



Fytexia사는 프랑스 몽벨에 위치하고, 프리페놀을 전문적으로 연구하는 기업입니다. 시네트롤은 자몽, 오렌지, 과라나 등 다양한 폴리페놀 성분을 함유한 100% 식물성 소재로 이루어져 있습니다.
체지방 감소에 도움을 줄 수 있는 나린진 성분이 바로 핵심인데요. 나린진은 자몽, 오렌지, 유자 등에 함유된 플라보노이드로 자몽의 쓴맛을 내는 성분으로도 알려져 있습니다.


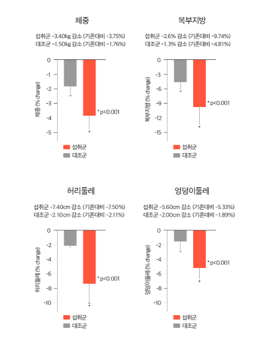
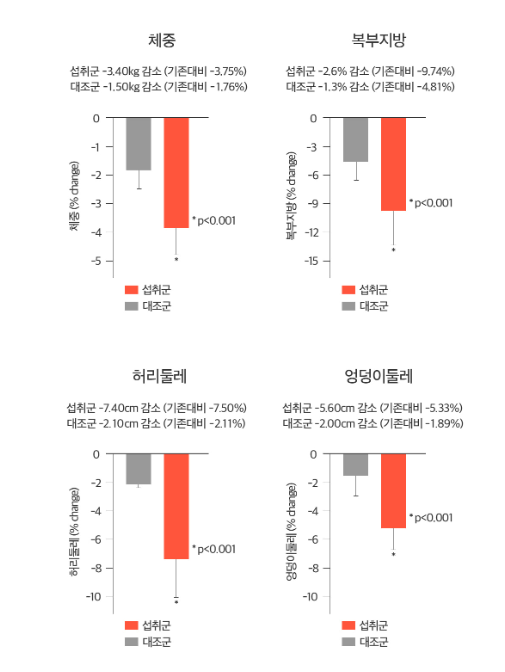
기능성 원료인 시네트롤 인체적용 시험 결과 복부지방, 허리둘레, 엉덩이둘레 감소 확인, 허리/엉덩이 둘레 비율 감소 확인, 체중 감소확인, BMI감소 확인, 체지방량 감소가 확인되었습니다.
맥스컷 다이어트 허리업 1포로 비타민 6종이 모두 포함되어 있어서, 하루에 한포로 간편하게 다이어트를 할 수 있습니다.

에너지 대사 및 활력 증진, 비타민 6종은 어떤 것들이 포함될까요?
- 나이아신: 체내 에너지 생성에 필요
- 판토텐산: 지방, 탄수화물, 단백질 대사와 에너지 생성에 필요
- 비타민B1: 탄수화물과 에너지 대사에 필요
- 비타민B2: 체내 에너지 생성에 필요
- 비타민B6: 단백질 및 아미노산 이용에 필요, 혈액의 호모시스테인 수준을 정상으로 유지하는데 필요
- 비타민B12: 정상적인 엽산 대사에 필요
- 맥스컷 다이어트 허리업 섭취방법
1일 1회, 1회 1포(7g)를 물 400ml에 잘 섞어서 섭취하시면 됩니다.

맥스컷 다이어트 허리업은 이런 분께 권장드려요
- 출산 후 몸매 관리로 힘들어하시는 분
- 타이트한 옷보다 자신 없이 오버핏만 입으시는 분
- 군살이 자꾸 늘어 걱정이신 분
- 불필요한 체지방을 없애고 싶으신 분
맥스컷 다이어트 허리업은 원료부터 완제품까지 엄격한 기준으로 생산하고 있는 안전하고 믿을 수 있는 GMP 인증 시설에서 제조됩니다. 추운 겨울 두꺼운 옷으로 꽁꽁 감싸고 있던 몸을 봄의 시작과 함께 다이어트를 해보시는 건 어떨까요?
굶고 힘들게 다이어트하시는 분들에게는 맥스컷 다이어트 허리업 한 번쯤은 드셔보시는 것도 괜찮다고 생각이 듭니다.
김인호 맥스컷 프로 다이어트 브랜드 1위 헬스헬퍼
최근 5년 사이에 비만환자가 무려 101.6%나 증가하였다고 합니다. 체지방 감소를 원하시는 분, 축적되는 복부지방이 고민이신 분, 입고 싶은 옷 마음껏 입고 싶은 분, 울퉁불퉁 군살을 빼고 싶은
allyogiyogi1991.com
휴그랩 7일간 50%할인 고주파 뱃살 마사지기 리즈라인
명절 설 연휴 동안 기름지고 맛있는 음식들만 먹은 덕분에 뱃살이 늘어나신 분, 군살이 고민이신 분, 효과 좋은 다이어트 찾으시는 분들 많이 계시죠? 이쁘고 탄력 있는 보디라인을 만들려면 피
allyogiyogi1991.com
[주문폭주 7백만포 판매] 다이어트효소 글램디 바로분해효소
기름진 음식이나 야식을 많이 드시는 분, 식사 후 더부룩한 속과 꽉 찬 아랫배가 고민이신 분들 있으시죠? 유산균과 식이섬유를 담은 100% 순수 곡물 발효 3세대 효소를 소개해드리려고 합니다.
allyogiyogi1991.com
단기간 다이어트, 가정용 좌훈기 추천 및 효능
배가 차가우신 분, 산후조리 시, 수술 후 빠른 회복을 위해, 생리통이 심하신 분, 손발이 차신 분들, 건강한 부부관계를 위해서 꼭 필요한 가정용 한방 좌훈기를 소개해드리려고 합니다. 특히나
allyogiyogi1991.com